固話:021-6040 2598
傳真:021-6040 2599
采購:info@euro-ke.com
銷售:sales@euro-ke.com
上海市寶山區羅店路388號MAX科技園A座504-1室
導讀:電磁流量計(Electromagnetic Flowmeters,簡稱EMF)是20世紀50~60年代隨著電子技術的發展而迅速發展起來的新型流量測量儀表。 電磁流量計是應用電磁感應原理, 根據導電流體通過外加磁場時感生的電動勢來測量導電流體流量的一種儀器。...
電磁流量計的結構主要由磁路系統、測量導管、電極、外殼、襯里和轉換器等部分組成。
磁路系統:
其作用是產生均勻的直流或交流磁場。直流磁路用永久磁鐵來實現,其優點是結構比較簡單,受交流磁場的干擾較小,但它易使通過測量導管內的電解質液體極化,使正電極被負離子包圍,負電極被正離子包圍,即電極的極化現象,并導致兩電極之間內阻增大,因而嚴重影響儀表正常工作。當管道直徑較大時,永久磁鐵相應也很大,笨重且不經濟,所以電磁流量計一般采用交變磁場,且是50HZ工頻電源激勵產生的。
測量導管:
其作用是讓被測導電性液體通過。為了使磁力線通過測量導管時磁通量被分流或短路,測量導管必須采用不導磁、低導電率、低導熱率和具有一定機械強度的材料制成,可選用不導磁的不銹鋼、玻璃鋼、高強度塑料、鋁等。
電極:
其作用是引出和被測量成正比的感應電勢信號。電極一般用非導磁的不銹鋼制成,且被要求與襯里齊平,以便流體通過時不受阻礙。它的安裝位置宜在管道的垂直方向,以防止沉淀物堆積在其上面而影響測量精度。
外殼:
應用鐵磁材料制成,是分配制度勵磁線圈的外罩,并隔離外磁場的干擾。
襯里:
在測量導管的內側及法蘭密封面上,有一層完整的電絕緣襯里。它直接接觸被測液體,其作用是增加測量導管的耐腐蝕性,防止感應電勢被金屬測量導管管壁短路。襯里材料多為耐腐蝕、耐高溫、耐磨的聚四氟乙烯塑料、陶瓷等。
轉換器:
由液體流動產生的感應電勢信號十分微弱,受各種干擾因素的影響很大,轉換器的作用就是將感應電勢信號放大并轉換成統一的標準信號并抑制主要的干擾信號。其任務是把電極檢測到的感應電勢信號Ex經放大轉換成統一的標準直流信號。
1、測量不受流體密度、粘度、溫度、壓力和電導率變化的影響;
2、測量管內無阻礙流動部件,無壓損,直管段要求較低。對漿液測量有獨特的適應性;
3、合理選擇傳感器襯里和電極材料,即具有良好的耐腐蝕和耐磨損性;
4、轉換器采用新穎勵磁方式,功耗低、零點穩定、精確度高。流量范圍度可達150:1;
5、轉換器可與傳感器組成一體型或分離型;
6、轉換器采用16位高性能微處理器,2x16LCD顯示,參數設定方便,編程可靠;
7、流量計為雙向測量系統,內裝三個積算器:正向總量、反向總量及差值總量;可顯示正、反流量,并具有多種輸出:電流、脈沖、數字通訊、HART;
8、轉換器采用表面安裝技術(SMT),具有自檢和自診斷功能;
9、測量精度不受流體密度、粘度、溫度、壓力和電導率變化的影響,傳感器感應電壓信號與平均流速呈線性關系,因此測量精度高。
10、測量管道內無阻流件,因此沒有附加的壓力損失;測量管道內無可動部件,因此傳感器壽命極長。
11、由于感應電壓信號是在整個充滿磁場的空間中形成的,是管道載面上的平均值,因此傳感器所需的直管段較短,長度為5倍的管道直徑。
12、轉換器采用國際最新最先進的單片機(MCU)和表面貼裝技術(SMT),性能可靠,精度高,功耗低,零點穩定,參數設定方便。點擊中文顯示LCD,顯示累積流量,瞬時流量、流速、流量百分比等。
13、雙向測量系統,可測正向流量、反向流量。采用特殊的生產工藝和優質材料,確保產品的性能在長時候內保持穩定。
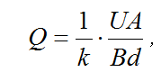
按照外加磁場類型的不同,電磁流量計主要有直流式和感應式兩種。直流式電磁流旱計(圖2)的外加恒下磁場B垂直于管軸,C、D處裝有兩個電極,用來測量流體橫越磁場時所感生的電動勢U。流量Q可用下式求出:

式中A為管道橫截面積;d為管道直徑;k為修正系數,用來修正導出公式時未計及的因素(如流量計管道內的流速事實上并不均勻)的影響。在常的流量計中,k約為0.8,但對于特定尺寸、用于特定工況的電磁流量計,則要用容積法(一定時間內流過的容積)標定k值。磁場可由永久磁鐵產生,磁鐵材料一般是鋁-鎳-鈷合金。流量大時,因管徑較大,故采用無鐵芯激磁繞組,通以它常直流電流來產生一個近似均勻的磁場。
感應式電磁流量計 在被測流體溫度過高或對電極有強烈腐蝕作用等情況下,可采用感應式電磁流量計(圖2)。A、B為匝數相等的兩個交流激磁繞組(圖中畫的是截面),繞組之間是串聯的,但各自的電流方向相反。當流體靜止時,通過感應線圈C的合成磁通為零,故線圈中沒有感生的交變電動勢。流體流動時感應線圈中就產生交變電動勢,其大小與流速成正比。基于這一原理,還有很多改型方案。例如用一個激磁繞組,而在它的對稱的兩側各安置一方向相反的感應線圈并串聯起來(圖3)流體流動時,磁力線向流動方向移動,使兩邊感應線圈中的大吃一驚生電動勢不為零,由此可間接表示出流量的大小。
電磁流量計的管道內沒有其他部件,所以除用于測量導電流體的流量外,還可用于測量各種粘度的不導電液體(其中加入易電離物質)的流量。在核能工業中經常使用電磁流量計。


電磁流量計就顯示方式分為:分體型電磁流量計,一體型電磁流量計。系列公稱通徑DN15~DN3000。
分體型電磁流量計是一種根據法拉第電磁感應定律來測量管內導電介質體積流量的感應式儀表,采用單片機嵌入式技術,實現數字勵磁,同時在電磁流量計上采用CAN現場總線,屬國內首創,技術達到國內領先水平。
分體型電磁流量計在滿足現場顯示的同時,還可以輸出4~20mA電流信號供記錄、調節和控制用,現已廣泛地應用于化工、環保、冶金、醫藥、造紙、給排水等工業技術和管理部門。
分體型電磁流量計除可測量一般導電液體的流量外,還可測量液固兩相流,高粘度液流及鹽類、強酸、強堿液體的體積流量。
一體型電磁流量計是根據法拉第電磁感應定律制定,用來測量導電流體的體積流量。由于獨特的特點已廣泛地應用于工業上各種導電液體的測量。主要用于化工、造紙、食品、紡織、冶金、環保、給排水等行業,與計算機配套可實現系統控制。
1.電磁流量計沒有可動部件,也沒有阻流件,不會引起壓力損失,同時也不會引起磨損,阻塞等問題。
2.電磁流量計是一體積流量測量儀表,在測量過程中不受被測介質的溫度、粘度、密度以及導電率(在一定范圍內)的影響。
3.電磁流量計的量程范圍寬,可達1:100。此外,電磁流量計只與被測介質的平均流速成正比,而與軸對稱的流動狀態(層流或紊流)無關。
4.電磁流量計無機械慣性,反應靈敏,可以測量瞬時脈動流量,而且線性好,因此可以將測量信號直接用轉換器線性的轉換成標準信號輸出。LD-T型可就地指示,LD型可遠距離傳送。
口徑與量程的選擇
變送器口徑通常選用與管道系統相同的口徑。如果份道系統有待設計,則可根據流母范圍和流速來選擇口徑。對于電磁流量計來說,流速以2-4m/s較為適宜。在特殊情況下. 如液體中帶有固體顆粒,考慮到磨損的情況,可選常用流速≤3m/s,對于易附管壁的流體,可選用流速≤2m/s,流速確定以后,可根據來確定變送器口徑。

變送器的量程可以根據兩條原則來選擇:一是儀表滿量程大于預計的最大流量值,二是正常流值大于儀表滿量程的50%,以保證一定的測量精度。
襯里選擇
電磁流量計內襯材料正確選用方法
應根據被測介質的腐蝕性,磨損性和溫度來選擇內襯材料:
一、天然橡膠(軟橡膠)
1、較好的彈性,耐磨性和扯斷力
2、耐一般的弱酸、弱堿的腐蝕
3、 測水、污水
二、耐酸橡膠(硬橡膠)
可耐常溫下的鹽酸、醋酸、草酸、氨水、磷酸及50%的硫酸、氫氧化鈉、氫氧化鉀的腐蝕,但不耐強氧化劑的腐蝕
測一般的酸、堿、鹽溶液
三、氯丁橡膠(Neoprene)
1、極好的彈性,高度的扯斷力,耐磨性能好
2、耐一般低濃度的酸堿、鹽溶液的腐蝕,但不耐氧化性介質的腐
<80℃;
測水、污水、泥漿和礦漿
四、聚胺脂橡膠(Polyurethane)
1、極好的耐磨性能
2、耐酸、堿性能差
<40℃
測中性強磨損的煤漿、泥漿和礦漿
五、聚四氟乙烯(PTFE)
1、耐沸騰的鹽酸、硫酸、硝酸、王水、濃堿和各種有機溶劑
2、耐磨性能好,粘接性能差
-80~+180℃;
測濃度、濃堿強腐蝕性溶液及衛生類介質
應用現場選型
1.了解工藝參數
(1)了解被測液體名稱(由用戶提供)
(2)了解被測液體的最大流量、常用流量、最小流量(由用戶提供)
(3)了解工藝管徑(由用戶提供)
(4)了解介質溫度(由用戶提供)
(5)了解介質壓力(由用戶提供)
(6)了解被測流體的電導率(由用戶提供)
(7)了解是否有負壓情況存在(由用戶提供)
2.初步選型
(1) 根據了解到的被測介質的名稱和性質,確定是否采用電磁流量計(由業務員確定)
注意:電磁流量計只能測量導電液體流量,而氣體、油類和絕大多數有機物液體不在一般導電液體之例
(2)根據了解到的被介質性質,確定電極材料
注意;公司一般提供不銹鋼、哈氏、鈦和鉭等四種電極,選用哪種電極應根據介質性質查相關資料手冊
(2)根據了解到的介質溫度確定采用橡膠還是四氟內襯(由營銷員確定)
注意:橡膠耐溫不得超過80C;
四氟耐溫150C,瞬間可耐180C;
城市污水一般可采用橡膠內襯和不銹鋼電極
(3)根據了解到的介質壓力,選擇表體法蘭規格(由營銷員確定)
注意:電磁法蘭規格通常為當口徑由DN10-250時,法蘭額定壓力≤1.6Mpa;
當口徑由DN250-1000時,法蘭額定壓力≤1.0Mpa;
當介質實際壓力高于上述管徑-壓力對應范圍時,為特殊訂貨,但最高壓力不得超過6.4Mpa
(4)確定介質的電導率
注意:(1)電磁流量計的電導率不得低于5uS/cm
(2)自來水的電導率約為幾十到上百個uS/cm,一般鍋爐軟水(去離子水)導電,純水(高度蒸餾水)不導電
(3)氣體、油和絕大多數有機物液體的電導率遠低于5uS/cm,不導電。
3.了解用戶要求
(1)了解是組合式就地顯示還是分體式遠傳顯示(由用戶提供)
注意:當為分體遠傳顯示時請了解最大距離,分離最大距離為100米
(2)了解是否需要其它附加功能(由用戶提供)
注意:1、電磁流量計本身帶有上下限流量報警、頻率和電流輸出功能,無須另外特殊訂貨
2、電磁流量計外殼密封防護等級有IP65和IP68兩種,當選擇潛水型IP68時屬于特殊訂貨
3、當電磁流量計要和計算機連接時,需增加RS-485通訊口,屬于特殊訂貨
4.選型:通過上述步驟后,可最后確定電磁流量計型號規格。
電磁流量計有兩個運行狀態:自動測量狀態和參數設置狀態。
儀表通電時,自動進入測量狀態。在自動測量狀態下,電磁流量計自動完成各測量功能并顯示相應的測量數據。在參數設置狀態下,用戶使用四個面板鍵,完成儀表參數設置。
1、按鍵功能
1.1自動測量狀態下鍵功能
下鍵:循環選擇屏幕下行顯示內容;
上鍵:循環選擇屏幕上行顯示內容;
復合鍵+確認鍵:進入參數設置狀態;
確認鍵:返回自動測量狀態;
測量狀態下,LCD顯示器對比度的調節:小液晶是通過“復合鍵+上鍵”或“復合鍵+下鍵”按數秒鐘;大液晶是通過調節大液晶背面的電位器來實現。
1.2參數設置狀態下鍵功能
下鍵:光標處數字減1;
上鍵:光標處數字加1;
復合鍵+下鍵:光標左移;
復合鍵+上鍵:光標右移;
確認鍵:進入/退出子菜單;
確認鍵:在任意狀態下,連續按下兩秒鐘,返回自動測量狀態。
注:1.使用“復合鍵”時,應先按下復合鍵再同時按住上“上鍵”或“下鍵”
2.在參數設置狀態下,3分鐘內沒有按鍵操作,儀表自動返回測量狀態。
3.流量零點修正的流向選擇,可將光標移至最左面的“+”或“—”用“上鍵”或“下鍵”切換使之與實際流向相反。
4.流量的單位選擇,可將光標移至“流量量程設置”菜單的原顯示的流量單位下,然后用“上鍵”或“下鍵”切換使之符合需要。
2、參數設置功能鍵操作
要進行電磁流量計參數設定或修改,必須使流量計從測量狀態進入參數設置狀態。在測量狀態下,按“復合鍵+確認鍵”出現狀態轉換密碼(0000),根據保密級別,按廠家提供的密碼對應修改。再按“復合鍵+確認鍵”后,則進入需要的參數設置狀態。
智能型電磁流量計傳感器在工藝管道上的安裝
1.智能型電磁流量計測堵管在任何時刻必須完全注滿介質,不能在不滿管或空管的情況下正常工作。在介質不滿管時,可采用抬高流量計后端出水管高度的方法使介質滿管,避免不滿管及氣體附著在電極上。
2.管道內有真空會損壞流量計的內襯,需特別注意。
3.流動的正方向應與流量計上箭頭所指的正方向一致。
4.智能型電磁流量計即可在直管道上安裝,也可以在水平或傾斜管道上安裝,但要求二電極的中心連線處于水平狀態。
5.對于液、固兩相流體,最好采用垂直安裝,使被測介質自上而下流動,可使流量計襯里磨損均勻,延長使用壽命。
6.流量計在管道法蘭附近確保有足夠的空間,以便安裝和維護。
7.若測量管道有振動,在流量計的兩側應有固定的支座。
8.測量介質為重污染液體的,在旁路管道安裝流量計本體,不中斷工藝運行,即可排空與清流。
9.安裝聚四氟乙烯內襯的流量計時,連接法蘭的螺栓應注意均勻擰緊,否則容易壓壞聚四氟乙烯內襯,最好用力矩扳手。
電磁流量計簡單說是由流量傳感器變送器組成的。電磁流量計的安裝要求是一定要安裝在管路的最低點或者管路的垂直段,但是一定是在滿管的情況下,對直管段要求是前5D后3D,這樣才能保證電磁流量計的使用和對精度的要求。
電磁流量計的測量原理不依賴流量的特性,如果管路內有一定的湍流與漩渦產生在非測量區內(如:彎頭、切向限流或上游有半開的截止閥)則與測量無關。如果在測量區內有穩態的渦流則會影響測量的穩定性和測量的精度,這時則應采取一些措施以穩定流速分布:
1. 增加前后直管段的長度
2. 采用一個流量穩定器
3. 減少測量點的截面。
1.對外部環境的要求
1.1.流量計應避免安裝在溫度變化很大或受到設備高溫輻射的場所,若必須安裝時,須有隔熱、通風的措施。
1.2.流量計最好安裝在室內,若必須安裝于室外,應避免雨水淋澆,積水受淹及太陽暴曬,須有防潮和防曬措施。
1.3.流量計應避免安裝在含有腐蝕性氣體的環境中,必須安裝時,須有通風措施。
1.4.為了安裝、維護、保養方便,在流量計周圍需有充裕的安裝空間。
1.5.流量計安裝場所應避免有磁場及強振動源,如管道振動大,在流量計兩邊應有固定管道的支座。
1. 2. 管道式電磁流量計
2.1.對直段的要求
為了改善渦流與流場畸變的影響,流量計安裝的前、后直管段長度有一定要求,否則會影響測量精度(也可安裝整流器,盡量避免在靠近調節閥和半開閥門之后安裝)。
2.2.對工藝管的要求
流量計對安裝點的上、下游工藝管有一定的要求,否則影響測量精度。
a.上、下游工藝管的內徑與傳感器的內徑相同,并應滿足:0.98DN≤D≤1.05DN(式中DN:傳感器內徑,D:工藝管內徑)
b.工藝管與傳感器必須同心,同軸偏差應不大于0.05DN
2.3.旁通管的要求
為了方便檢修流量計,最好為流量計安裝旁通管,另外,對重污染流體及流量計需清而流體不能停止的,必須安裝旁通管。
a.方便流量計的檢修
b.對重污染流體必須安裝
c.流體不能停止而流量計需清洗
3.插入式電磁流量計安裝要求
3.1.對直管段的要求
入口/出口直管段:入口應≥10×DN;出口應≥5×DN
3.2.對接地點要求
為了使儀表可靠的工作,提高測量精度,不受外界寄生電勢的干擾/傳感器應有良好的接地,接地電阻小于10.(若金屬管道接地良好時,無須專設接地裝置)3.3 對安裝位置要求如圖所示
插入電磁流量計根據現場管路情況不一,不加裝球閥的流量計,應在不帶壓倒管路上安裝(即不帶壓安裝可選擇不加裝球閥的流量計),在管道上開孔直徑50,準備把連接焊管焊接在管道的開孔上;對于要求不斷流裝卸或不允許介質溢出的場合,須加裝球閥,即選擇帶球閥結構的插入式電磁流量計;在管道上開孔直徑50,準備把連接焊管焊接在管道的開孔上。
插入式電磁流量計選型
測量范圍 : 推薦使用范圍: 0.5m/s~10m/s連續可調 。最大使用范圍:0.2m/s~15m/s連續可調
信號輸出:1、開關量可設為: 脈沖輸出(最高1000HZ);高 /低流量報警;空管報警;流量方向示意;
故障報警;2、電流輸出:4-20mA輸出
組態方式:1、通過三個手動鍵現場組態。 2、通過遙控器現場組態。 3、通過手操器進行現場組態。
記憶:EEPROM不會消失之記憶體,無需電池保存。
電磁流量計廣泛應用于污水,氟化工,生產用水,自來水行業以及醫藥,鋼鐵等等諸多方面。由于原理決定了它只能測導電液體。雖說它在可靠性和穩定性方面都比其它種類的流量計要好許多,但客戶在實際使用過程中,還是會發生一些問題,下面我就電磁流量計在選型和安裝上詳細說一下:
一,和其它流量計一樣,雖然電磁流量計它的測量范圍比是30:1,比渦街流量計和差壓式流量計都要高,但也是有限制的,許多客戶定表時,常常把它和水表相比較,以為可以測量很低的流速,一般情況下,它只能測0.1m/s.低于此流速電磁流量計就很難正確測量。所以定貨初期對流量范圍比要搞清楚。定貨時不能按原先管道口徑來定貨,最好按你實際流量來定儀表口徑。
二,和其它流量計一樣,電磁流量計對安裝前后直管道也有要求,只不過比其它類流量計要求更低,但最關健一點要滿足:就是滿管,再滿管。不滿管的情況下容易引起流量計亂跳:
三,和其它流量計一樣,電磁流量計也有防護等級,一般一體式的防護等級為IP65,分體式的為IP68(針對傳感器而言),如果客戶對儀表安裝環境有要求,安裝地點在地下陰井或其它一些潮濕的地方,建議客戶選用分體式的。以免選錯對儀表造成損害。
四,電磁流量計可以測腐蝕性液體,但定貨初期客戶要正確提供其它測量介質屬性,以免選型時對電極選型上的錯誤,導致傳感器在后期使用過程中報廢,給客戶帶來不便和經濟上的損失。
五,電磁流量計雖說可靠性比較好,一般情況下不會損壞,但由于其原理決定,傳感器電極表面一直和液體接觸,時間久了,電極表面比較容易受污染。所以電磁流量計一般情況下,客戶有條件拆的情況下,建議一年到一年半之間拆出來清洗一次電極以保證流量計整機的測量精度。任何儀器儀表都是需要“保養”的,電磁流量計也不例外。
六,在主管線是垂直管線時,一般情況下,要求水流是自下而上,盡量不要自上而下。后者容易引起流量波動比較大。安裝除了滿管以外,這點也是很重要的,其次就是前后直管道的距離了。
選擇便于維修,活動方便的地方。流量計應安裝在水泵后端,決不能在抽吸側安裝;閥門應安裝在流量下游側。
電磁流量計是根據法拉第電磁感應定律進行流量測量的流量計。電磁流量計的優點是壓損極小,可測流量范圍大。最大流量與最小流量的比值一般為20:1以上,適用的工業管徑范圍寬,最大可達3m,輸出信號和被測流量成線性,精確度較高,可測量電導率≥5μs/cm的酸、堿、鹽溶液、水、污水、腐蝕性液體以及泥漿、礦漿、紙漿等的流體流量。但它不能測量氣體、蒸汽以及純凈水的流量。
當導體在磁場中作切割磁力線運動時,在導體中會產生感應電勢,感應電勢的大小與導體在磁場中的有效長度及導體在磁場中作垂直于磁場方向運動的速度成正比。同理,導電流體在磁場中作垂直方向流動而切割磁感應力線時,也會在管道兩邊的電極上產生感應電勢。感應電勢的方向由右手定則判定,感應電勢的大小由下式確定:
Ex=BDv-----------------式(1)
式中Ex—感應電勢,V;
B—磁感應強度,T
D—管道內徑,m
v—液體的平均流速,m/s
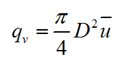
然而體積流量qv等于流體的流速v與管道截面積(πD2)/4的乘積,將式(1)代入該式得:
Qv=(πD/4B)* Ex ---------式(2)
由上式可知,在管道直徑D己定且保持磁感應強度B不變時,被測體積流量與感應電勢呈線性關系。若在管道兩側各插入一根電極,就可引入感應電勢Ex,測量此電勢的大小,就可求得體積流量。
據法拉第電磁感應原理,在與測量管軸線和磁力線相垂直的管壁上安裝了一對檢測電極,當導電液體沿測量管軸線運動時,導電液體切割磁力線產生感應電勢,此感應電勢由兩個檢測電極檢出,數值大小與流速成正比例,其值為:
E=B·V·D·K
式中: E-感應電勢;
K-與磁場分布及軸向長度有關的系數;
B-磁感應強度;
V-導電液體平均流速;
D-電極間距;(測量管內直徑)
傳感器將感應電勢E作為流量信號,傳送到轉換器,經放大,變換濾波等信號處理后,用帶背光的點陣式液晶顯示瞬時流量和累積流量。轉換器有4~20mA輸出,報警輸出及頻率輸出,并設有RS-485等通訊接口,并支持HART和MODBUS協議。
注:不同電磁流量計參數略有差異,使用時請務必查看說明書。
根據法拉第電磁感應定律,在磁感應強度為B的均勻磁場中,垂直于磁場方向放一個內徑為D的不導磁管道,當導電液體在管道中以流速v流動時,導電流體就切割磁力線.如果在管道截面上垂直于磁場的直徑兩端安裝一對電極則可以證明,只要管道內流速分布為軸對稱分布,兩電極之間產生感生電動勢:
e=KBDv (3-36)
式中,v為管道截面上的平均流速,k為儀表常數。由此可得管道的體積流量為:
qv= πeD/4KB (3-37)
由上式可見,體積流量qv與感應電動勢e和測量管內徑D成線性關系,與磁場的磁感應強度B成反比,與其它物理參數無關。這就是電磁流量計的測量原理。
需要說明的是,要使式(3—37)嚴格成立,必須使電磁流量計測量條件滿足下列假定:
①磁場是均勻分布的恒定磁場;
②被測流體的流速軸對稱分布;
③被測液體是非磁性的;
④被測液體的電導率均勻且各向同性。
準確度等級
流量計在規定的流量范圍內準確度等級、最大允許誤差應符合表1的規定。流量計誤差表示使用相對示值誤差。
準確度等級和最大允許誤差
準確度等級 | 0.2 | (0.25) | (0.3) | 0.5 |
最大允許誤差 | ±0.2% | (±0.25%) | (±0.3%) | ±0.5% |
準確度等級 | 1.0 | 1.5 | 2.5 | / |
最大允許誤差 | ±1.0% | ±1.5% | ±2.5% | / |
注:優先采用不帶括號的等級 |
引用誤差
對于用于瞬時流量指示的流量計誤差表示也可使用引用誤差,其最大允許誤差系列應符合表1規定,其檢定結果的標書中不再給出準確等級,而使用其最大允許誤差表示,且還應在最大允許誤差后標注FS,如±0.5%FS。
在一臺流量計的一次檢定中,應按照準確度等級和引用誤差之中的一種給出流量計誤差表示方法;對于使用相對示值誤差和引用誤差組合表示誤差的流量計,一次檢定中也應統一使用一種方法表示其誤差。
重復性
流量計的重復性不得超過相應準確度等級規定的最大允許誤差絕對值的1/3。
電磁流量計測量范圍度大,通常為20:1~50:1,可選流量范圍寬;電磁流量計的口徑范圍比其它品種流量儀表寬,從幾毫米到3米;可測量正反雙向流量,也可測脈動流量,只要脈動頻率低于激磁頻率很多;儀表輸出本質上是線性的;易于選擇與流體接觸件的材料品種,可應用于腐蝕性流體等優點。由于電磁流量計測量含有懸浮固體或污臟體的機會遠比其他流量儀表多,出現內壁附著層產生的故障概率也就相對較高?!∪舾街鴮与妼逝c液體電導率相近,儀表還能正常輸出信號,只是改變流通面積,形成測量誤差的隱性故障;若是高電導率附著層,電極間電動勢將被短路;若是絕緣性附著層,電極表面被絕緣而斷開測量電路。后兩種現象均會使儀表無法工作。[1]
智能電磁流量計采用帶背光寬溫點陣型液晶顯示器,所有顯示都是中文,功能多而實用,特別方便使用者操作,減少不必要的麻煩和錯誤。
交貨快,成本低,維修方便。
電磁流量計如何抗干擾?
在測量紙漿/礦漿等大干擾信號應用時,選用8707高信號流量管,可以提高信號強度
智能電磁流量計AFLD是采用全智能化原理設計的,與原來國內一些企業生產的老式或假式智能化的電磁流量計在計量精度,功能,可靠性以及使用壽命上有非常大區別。
電磁流量計的使用壽命應該是在10-20年以上,所以我們在設計時就充分考慮廠到這一點,從傳感器到轉換器的每一個細節我們都非常仔細,從設計,選材,工藝,生產,測試等每一個環節我們都非常講究,自行設計定制國內目前最先進的專用與電磁流量計的生產流水線,切實保證產品的長期質量。
插入式電磁流量計由插入式電磁流量傳感器(簡稱傳感器)和電磁流量轉換器(簡稱轉換器)配套組成(簡稱流量計)。是用來測量管道內各種導電液體體積流量的儀表。插入式電磁流量計用來測量自來水、鋼鐵、石油、化工、電力、工業、水利等部門的導電流體流量,亦可測量酸、堿、鹽等腐蝕性導電液體。
1、 精度等級和功能根據測量要求和使用場合選擇儀表精 度等級,做到經濟合算。比如用于貿易結算、產品交接和能源計量的場合,應該選擇精度等級高些,如1.0級、0.5級,或者更高等級; 用于過程控制的場合,根據控制要求選擇不 同精度等級;有些僅僅是檢測一下過程流量,無需做精確控制和計量的場合,可以選擇精度等級稍低的,如1.5級、2.5級,甚至 4.0級,這時可以選用價格低廉的插入式電磁流量計。
2、測量介質流速、儀表量程與口徑 測量一般的介質時,電磁流量計的滿度 流量可以在測量介質流速0.5—12m/s范圍內 選用,范圍比較寬。選擇儀表規格(口徑)不一 定與工藝管道相同,應視測量流量范圍是否 在流速范圍內確定,即當管道流速偏低,不能滿足流量儀表要求時或者在此流速下測量準 確度不能保證時,需要縮小儀表口徑,從而提 高管內流速,得到滿意測量結果。
3、盡量避開鐵磁性物體及具有強電磁場的設備,以免磁場影響傳感器的工作磁場和流量信號。
4、應盡量安裝在干燥通風之處,避免日曬雨淋,環境溫度應在-20~+60℃,相對濕度小于85%。
5、流量計周圍應有充裕的空間,便于檢測與維修。
僅需對儀表作周期性直觀檢查,檢查儀表周圍環境,掃除塵垢,確保不進水和其他物質,檢查接線是否良好,檢查儀表附近有否新裝強電磁場設備或有新裝電線橫跨儀表。若是測量介質容易沾污電極或在測量管壁內沉淀、結垢、應定期作清垢、清洗。
流量計開始投運或正常投運一段時間后發現儀表工作不正常,應首先檢查流量計外部情況,如電源是否良好、管道是否泄露或處于非滿管狀態、管道內是否有氣泡、信號電纜是否損壞、轉換器輸出信號(即后位儀表輸入回路)是否開路。切記盲目拆修流量計。
傳感器檢查
測試設備:500MΩ絕緣電阻測試儀一臺,萬用表一只。
測試步驟:
(1)在管道充滿介質的情況下,用萬用表測量接線端子A、B與C之間的電阻值,A-C、B-C之間的阻值應大至相等。若差異在1倍以上,可能是電極出現滲漏、測量管外壁或接線盒內有冷凝水吸附。
(2) 在襯里干燥情況下,用MΩ表測A-C、B-C之間的絕緣電阻(應大于200MΩ)。再用萬用表測量端子A、B與測量管內二只電極的電阻(應呈短路連通狀態)。若絕緣電阻很小,說明電極滲漏,應將整套流量計返廠維修。若絕緣有所下降但仍有50MΩ以上且步驟(1)的檢查結果正常,則可能是測量管外壁受潮,可用熱風機對外殼內部進行烘干。
(3) 用萬用表測量X、Y之間的電阻,若超過200Ω,則勵磁線圈及其引出線可能開路或接觸不良。拆下端子板檢查。
(4) 檢查X、Y與C之間的絕緣電阻,應在200MΩ以上,若有所下降,用熱風對外殼內部進行烘干處理。實際運行時,線圈絕緣性下降將導致測量誤差增大、儀表輸出信號不穩定。
(5) 如判定傳感器有故障,請與電磁流量計生產廠家聯系,一般現場無法解決,需到廠家維修。
轉換器檢查
如判定是轉換器故障,經檢查外部原因沒問題的情況下,請與電磁流量計生產廠家聯系,廠家一般會采取更換線路板的方式解決。
電極的維護
1.在使用電磁流量計之前,要先用標準的PH值溶液來標定電磁流量計。標定之后在操作之前,大家一定要注意先用蒸餾水把電磁流量計的電極清洗一遍,然后再用測液清洗再一次清洗電極。
2.如果不使用電磁流量計,要取下電磁流量計電極的時候,大家要注意不要讓電極的觸感器與硬物碰撞了,否則只要是出現損傷都會影響到電極的使用的。
3.使用電磁流量計結束之后,大家要把電磁流量計的電極套給套上,里面少放一些飽和溶液,只要保證電極的球泡是濕潤的就可以了,但是記住不要放在蒸餾水中浸泡。
4.平常要注意電極保持干凈,不要讓它的兩邊輸出出現了短路的情況,不然的話會使得測量不準確,影響電磁流量計的使用的。
其實,維護電磁流量計電極的方法還有很多,大家在使用過程中要多加注意,不要因為自己一點小小的疏忽造成了電磁流量計日后無法正常使用。
1.調試期故障
調試期故障一般出現在儀表安裝調試階段,一經排除,在以后相同條件下不會再出現。常見的調試期故障通常由安裝不妥、環境干擾以及流體特性影響等原因引起。
1. 安裝方面
通常是電磁流量傳感器安裝位置不正確引起的故障,常見的如將傳感器安裝在易積聚氣體的管系最高點;或安裝在自上而下的垂直管上,可能出現排空;或傳感器后無背壓,流體直接排入大氣而形成測量管內非滿管。
1. 環境方面
通常主要是管道雜散電流干擾,空間強電磁波干擾,大型電機磁場干擾等。管道雜散電流干擾通常采取良好的單獨接地保護就可獲得滿意結果,但如遇到強大的雜散電流(如電解車間管道,有時在兩電極上感應的交流電勢峰值Vpp可高達1V),尚需采取另外措施和流量傳感器與管道絕緣等。空間電磁波干擾一般經信號電纜引入,通常采用單層或多層屏蔽予以保護。
1. 流體方面
被測液體中含有均勻分布的微小氣泡通常不影響電磁流量計的正常工作,但隨著氣泡的增大,儀
表輸出信號會出現波動,若氣泡大到足以遮蓋整個電極表面時,隨著氣泡流過電極會使電極回路瞬間斷路而使輸出信號出現更大的波動。
低頻方波勵磁的電磁流量計測量固體含量過多漿液時,也將產生漿液噪聲,使輸出信號產生波動。
測量混合介質時,如果在混合未均勻前就進入流量傳感進行測量,也將使輸出信號產生波動。
電極材料與被測介質選配不當,也將由于化學作用或極化現象而影響正常測量。應根據儀表選用或有關手冊正確選配電極材料。
1. 運行期故障
運行期故障是電磁流量計經調試并正常運行一段時期后出現的故障,常見的運行期故障基本由流量傳感器內壁附著層、雷電打擊和環境條件變化等因素引起。
1. 傳感器內壁附著層
由于電磁流量計常用來測量臟污流體,運行一段時間后,常會在傳感器內壁積聚附著層而產生故障。這些故障往往是由于附著層的電導率太大或太小造成的。若附著物為絕緣層,則電極回路將出現斷路,儀表不能正常工作;若附著層電導率顯著高于流體電導率,則電極回路將出現短路,
儀表也不能正常工作。所以,應及時清除電磁流量計測量管內的附著結垢層。
1. 雷電打擊
雷擊容易在儀表線路中感應出高電壓和浪涌電流,使儀表損壞。它主要通過電源線或或者勵磁線圈或者傳感器與轉換器之間的流量信號線等相關途徑引入,尤其是從控制室電源線引入占絕大部分。
1. 環境條件變化
在調試期間由于環境條件尚好(例如沒有干擾源),流量計工作正常,此時往往容易疏忽安裝條件(例如接地并不怎么良好)。在這種情況下,一旦環境條件變化,運行期間出現新的干擾源(如在流量計附近管道上進行電焊,附近安裝上大型變壓器等),就會干擾儀表的正常工作,流量計的輸出輸出信號就會出現波動。
典型故障診斷及處理
1. 無流量輸出。檢查電源部分是否存在故障,測試電源電壓是否正常;測試保險絲通斷;檢查傳感器箭頭是否與流體流向一致,如不一致調換傳感器安裝方向;檢查傳感器是否充滿流體,如沒有充滿流體,更換管道或垂直安裝。
2. 信號越來越小或突然下降。測試兩電極間絕緣是否破壞或被短路,兩電極間電阻值正常在(70~100)Ω之間;測量管內壁可能沉積污垢,應清洗和擦拭電極,切勿劃傷內襯。測量管襯里是否破壞,如破壞應予以更換。
3. 零點不穩定,檢查介質是否充滿測量管及介質中是否存在氣泡,如有氣泡可在上游加裝消氣器,如水平安裝可改成垂直安裝;檢查儀表接地是否完好,如不好,應進行三級接地(接地電阻≤100Ω);檢查介質電導率應不小于5μs/cm;檢查介質是否淤積于測量管中,清除時注意不要將內襯劃傷。
4. 流量指示值與實際值不符。檢查傳感器中的流體是否充滿管,有無氣泡,如有氣泡可在上游加裝消氣器;檢查各接地情況是否良好;檢查流量計上游是否有閥,如有,移至下游或使之全開;檢查轉換器量程設定是否正確,如不對,重新設定正確量程。
5. 示值在某一區間波動。檢查環境條件是否發生變化,如出現新干擾源及其他影響儀表正常工作的磁源或震動等,應及時清除干擾或將流量計移位;檢查測試信號電纜,用絕緣膠帶進行端部處理,使導線、內屏蔽層、外屏蔽層、殼體之間不相互接觸。
選用電磁流量計測量流量的流體必須是導電的,因此不導電的氣體、蒸汽、油類、丙銅等物質不能選用電磁流量計測量流量。
經初期調試并正常運行一段時期后在運行期間出現的故障,常見故障原因有:流量傳感器內壁附著層,雷電擊,環境條件變化。
1、內壁附著層
由于電磁流量計測量含有懸浮固相或污臟體的機會遠比其他流量儀表多,出現內壁附著層產生的故障概率也就相對較高。若附著層電導率與液體電導率相近,儀表還能正常輸出信號,只是改變流通面積,形成測量誤差的隱性故障;若是高電導率附著層,電極間電動勢將被短路;若是絕緣性附著層,電極表面被絕緣而斷開測量電路。后兩種現象均會使儀表無法工作。
2、雷電擊
雷電擊在線路中感應瞬時高電壓和浪涌電流,進入儀表就會損壞儀表。雷電擊損儀表有3條引入途徑:電源線,傳感器勺轉換器間的流量信號線和激磁線。然而從雷電故障中損壞零部件的分析,引起故障的感應高電壓和浪涌電流大部分足從控制室電源線路引入的,其他兩條途徑較少。還從發生雷擊事故現場了解到,不僅電磁流量計出現故障,控制室中其他儀表電常常同時出現雷擊事故。因此使用單位要認識設置控制室儀表電源線防雷設施的重要性。現任已有若于設計單位隊識和探索解決這一問題,如齊魯石化設計院[1]。
3、環境條件變化
主要原因同上節調試期故障環境方面,只是干擾源不在調試期出現而在運行期間再介入的。例如一臺接地保護并不理想的電磁流量計,調試期因無廠擾源,儀表運行正常,然而在運行期出現新干擾源(例如測量點附近管道或較遠處實施管道電焊)干擾儀表正常運行,出現輸出信號大幅度波動。
電磁流量計的維護
1、傳感器檢查
測試設備:500MΩ絕緣電阻測試儀一臺,萬用表一只。
2、轉換器檢查
電磁流量計如判定是轉換器故障,經檢查外部原因沒問題的情況下,請與生產廠家聯系一般會采取更換線路板的方式解決。
電磁流量計測量低電導率介質之實踐
電磁流量計是用來測量電導率大于5μs/cm的導電性的液體介質的體積流量,電磁流量計測量原理主要是依據法拉第電磁感應定律,即當流體通過測量管,將切割磁力線感應出電動勢。電動勢正比于磁通量密度,測量管內徑與平均流速的乘積,電動勢(流量信號)由電極檢出并通過電纜送至轉換器,然而當測量微弱的電導率介質時,電動勢就很難被感應出,通過現場實踐操作方法,我們特雷默克總結出以下幾點供參考:
首先是要確定被測量介質是否具有電導率;
其次是在電磁流量計安裝上要嚴格按照產品使用說明書進行安裝;
再次是在電磁流量計進行調試時將電磁流量計轉換器內空管報警這一參數關閉后就可以順利地檢測出電動勢。
電磁流量計口徑的計算確定方法:
電磁流量計主要用于測量封閉管道內導電性的液體的體積流量,電磁流量計規定流體的最小流速不低于0.5m/s,正常在2~4m/s,最高不高于8m/s,因此我們在選擇電磁流量計的口徑時要充分考慮到在保證電磁流量計的測量精度下,選擇合適的管道尺寸,那么如何確定電磁流量計的口徑呢?下面我來簡單介紹一下電磁流量計的口徑如何確定?
本人假設現在有500m3的一池水要求在4個小時內用水泵將其排凈,怎么來確定要采用多大口徑的管道呢?通過上面要求的參數可以確定流量計的流量范圍是:500m3除以4小時就是125m3/h 。通過流量可以計算管道口徑的大概范圍,即:πr2×流速(0.5~8m/s)=125m3/h,通過計算知道要抽完125m3/h的水,其口徑范圍在0.075m~0.2975m即DN80~DN300之間,再考慮到電磁流量計的精度要求,選流速2~4m/s為最佳,通過計算其口徑在0.105m~0.149m,即DN100~DN150,考慮到投資等各方面因素,本人就可以確定選DN100的較適合。
插入式電磁流量計安裝步驟
1. 插入式電磁流量計要求用戶管道應為水平設置,傳感器前至少有5DN、其后至少應有3DN的直管段。流量調節閥應位于傳感器下游3DN以外。管道應明顯振動,管道內壁應無明顯凹凸不平。
2. 先在管道測量點處正上方開一個Ф60-62mm的孔,要求圓孔四周邊緣光潔,無毛刺和氣割瘤疤等。
3. 將安裝件從傳感器上擰下來并可靠地焊接在上述開孔處,要求:使安裝件下端與管道內面齊平并且保證不漏
4. 松開傳感器的3個鎖緊螺釘將檢測桿及檢測頭整體抽出待后面安裝。(注意:用戶不得打開檢測頭與插入桿的連接)
5. 在安裝件的上端螺紋處纏以麻絲鉛油或纏以四氟生膠帶后將球閥連同密封劑鎖緊機構擰緊在上面。
6. 將檢測桿從上方慢慢地再插入進去,將鎖緊螺母稍稍加力擰緊,壓下插入桿測量L2與記錄L2尺寸相同,安裝就完成了。
影響因素和選型注意事項
一、各種介質對測量的影響
?、?流速分布的影響由流體力學知道,液體在管道內流動時,管道橫截面上各點的流速是不相等的,但不管是層流還是紊流,經一定距離的直管段后,流速分速即可成為軸對稱分布,流速在管軸中心處為最大,在管壁處為零,其平均流速為V—,只要流速分布相對測量管中心軸為對稱的,則在電極上產生的感應電動勢大小與各點的流速分布狀態無關,而只是與被測液體的平均流速成正比。因此,流速分布為軸對稱是均勻磁場型電磁流量計必須滿足的工作條件之一。假如流速分布相對管中心軸為非對稱時,雖然總的流量相同,但在電極附近感應電動勢大,所以測得的信號比實際流量值大。相反,在與電極成90°的地方感應電動勢小所得的信號比實際流量值小,造成測量誤差。因此,為了使流速度分布軸對稱,流量計前加直管段是必要的。
⑵ 磁場邊緣效應對測量的影響 若假定沿流體的流動方向上磁場始終是均勻的,實際上,這意味著沿管軸方向上的磁場為無限長而實際流量計的磁場是有限長的所以就必須考慮有限長磁場產生的邊緣效應對測量的影響。假定管壁是絕緣的,電極附近磁場大致是均勻的,兩端則逐漸減弱,形成不均勻的邊緣,最后下降為零。這樣,使得液體內部電場E也不均勻,將產生渦電流。由渦電流所產生的二次磁通反過來改變磁場邊緣部分的工作磁通使磁場的均勻性進一步遭到破壞。這時,在電極上測得的感應電動勢與無限長磁場下的感應電動勢大小不一樣,產生了誤差。假如管壁是導電的,由于導電管壁的短路作用,磁場邊緣效應就會更加明顯,隨著管壁導電率和壁厚的變化,這種影響也將更見明顯,從而導致電極上感應電動勢的損失增加。對電磁流量計來說,測量管壁絕緣是非常必要的,所以管壁通常要涂上絕緣層。若被測介質中含有導磁性物質,磁場邊緣效應就更復雜。由于導磁物質的存在,使磁場發生嚴重畸變,造成測量的非線性。所以對于所測液體中含有液態金屬的,一般采用直流勵磁以減少磁場邊緣效應。
⑶ 被測介質電導率的影響 ,電磁流量計轉換器的輸入阻抗已有所提高測量導電性液體時,一般不會因介質電導率稍有變化而引起誤差,但對于一定的轉換器輸入阻抗,被測介質的電導率有一個下限值,不能低于該下限值。被測介質的電導率太大也是不允許的。例如當電導率超過10-1S/cm左右時,就會降低流量信號,改變指示值,即指示流量值小于實際流量值。當被測介質的電導率很大時,外電路的電阻較小,這時不管轉換器的輸入阻抗有多高,并聯的結果將取決于這部分液體外電路從而減小變送器與轉換器之間的傳輸精度。所以,對一個電磁流量計來說,測量不受介質電導率影響是有一定范圍的,被測介質電導率既不能太大,也不能太小。假如介質的電導率極高,磁場邊緣區將產生很大的渦電流,引起二次磁通,使工作磁場邊緣區域兩側的磁場分別被削弱和增強。所以測電導率高的介質不宜用交流勵磁,而應用直流激磁。隨著電子技術的發展,轉換器輸入阻抗的提高,必將可以降低被測介質電導率的下限。
三、流量傳感器的選用 電磁流量計電極材料的選用電極材料與被測介質選配不當,將由于化學作用或極化現象而影響正常測量,應根據被測介質的腐蝕性選擇電極材料。 根據被測介質的腐蝕性、磨損性和溫度選擇電磁流量計內襯材料。盡量選擇有防雷擊功能的電磁流量計。
四、流量傳感器安裝
1、對安裝場所的要求。
1)、測量混合相流體時,選擇不會引起相分離的場所,測量雙組分液體時,避免裝在混合尚未均勻的下游,測量化學反應管道時,要裝在反應充分完成段。
2)、盡可能避免測量管內變成負壓。
3)、選擇震動小的場所,特別對一體型儀表。
4)、避免附近有大電機、大變壓器等,以免引起電磁場干擾。
5)、易于實現傳感器單獨接地的場所。
6)、盡可能避開周圍環境有高濃度腐蝕性氣體。
7)、環境溫度在-25-60℃范圍內,環境相對濕度在10%-9O%范圍內,盡可能避免陽光直射。
8)、液體應具有測量所需的電導率,并要求電導率分布大體上均勻。因此流量傳感器安裝要避開容易產生電導率不均勻場所,例如其上游附近加入藥液,加液點最好位于傳感器下游。
2 、直管段長度要求,電磁流量計對前后直管段要求比較低,對于90o彎管、T形三通、同心異徑管、全開閘閥后通常只要離電極中心線,不是傳感器進口端連接面>5倍直徑長度的直管段,不同開度的閥則需1OD,下游直管段為3D。測量不同介質的混合液體時,混合點與流量計之間的距離最少要大于30D.
3、安裝位置和流動方向,傳感器安裝方向水平、垂直或傾斜均可,不受限制。但測量固、液兩相流體最好垂直安裝,自下而上流動。這樣能避免水平安裝時襯里下半部局部磨損嚴重,低流速時固相沉淀等缺點。水平安裝時要使電極軸線平行于地平線,防止由于液體中偶存氣泡擦過遮住電極表面造成絕緣也可防止底部的電極被沉積物覆蓋。垂直安裝時,應使流動方向向上,這樣可以使無流量或小流量時,流體中夾雜的較重固態顆粒下沉,而較輕的肢肪類物質上升離開流量計的傳感器電極區。
4 、接地 傳感器必須單獨接地,接地電阻100Ω以下。分離型原則上接地應在傳感器一側,轉換器接地應在同一接地點。
上一篇:容積流量計概述及原理
下一篇:超聲波流量計原理及概述
專業顧問快速對接您的需求
高質量的設備解決您的需求
專業制作工廠高質量的保證
多年經營值得信賴